This post was written for the Q# Advent Calendar 2019 (honored to have made the banner cats calendar). Check out the calendar for other posts.
As introduced in my last year’s Q# Advent Calendar blog on measurement and interference, I have been teaching Quantum Computing at Microsoft for about a year now, as a part of a self-paced and self-organized study group at The Microsoft Garage. Among Microsoft employees, interest in this new technology is high and there is a general thirst for knowledge to understand the topic. I drove the study group in the Bay Area and also taught workshops at other global Garage locations – this is a popular and useful content I can bring to the sites when I visit them.

During my learning and teaching, I’ve accumulated and written down materials to share and reuse. Together with my colleagues, from all over the world, who are also subject-area experts, we’ve made a tutorial that starts with the basics of quantum computing, then walks readers through step-by-step on some foundation algorithms, and explains some of the hardware systems that industry and academia have been working on. This is typically the order of curiosity expressed by beginners – they first ask what quantum computing is, then ask why it is useful and then ask how we make a quantum computer.
Each session of the tutorial ends with a Q# programming exercise. Learners can immediately familiarize themselves with the concept hands-on. The materials take me several months to teach: a session every other week; each session lasts 1 hour long. However, when I visit remote sites, I don’t have the luxury to spend months there. So I’ve put together a 2-hour condensed version and have been giving workshops internally at Microsoft.

For the first time, I did an external workshop at Hackaday Supercon this past November. The enthusiasm was overwhelming. Tickets were sold out in the first few hours. Hackaday Supercon brings a community of hackers, makers, developers, engineers, scientists, designers and artists, who are highly technical. But the topic of quantum computing might be new to them and they were eager to learn.










The materials I chose to teach were picked from the tutorial, with some necessary math and a little bit of physics and how they build up towards quantum computing. These are often skipped or avoided in quantum computing high-level general public presentations. However, I believe people deserve to have the fundamental knowledge so the technology is democratized and that they have the tools to demystify hypes about the subject. Besides, the math needed in the basic concepts is at a high-school level. It’s mostly that adults have forgotten how to do matrix multiplications, rather than it being too challenging to solve. Physics needed is also minimal, unless we get into the hardware which requires knowledge in condensed matter – wasn’t the focus of the hands-on introduction to quantum computing workshop. I also made people do calculations on paper. It is always fun to observe given it’s becoming a lost skill among modern humans.

I talked about the concepts for 1.5 hours and spent 30 minutes walking through some exercises on gates, superposition, entanglement, measurement and teleportation. It is really great that the Microsoft Quantum Computing team has developed a set of open-source katas. You can clone it from the repo and run it on the QDK locally or follow the links to run online on Jupyter Notebook. They give me enough backup options for live workshops.

The workshop went well. Some people followed the whole way through and some people were a little lost – typical for a self-motivated classroom. I will think of a way to create more interactions between attendees at different levels for future workshops since peer teaching is effective. Good thing is everyone knew more about quantum computing and what goes into building a quantum computer than 2 hours ago before the workshop. There were continuous discussions afterwards. I made my slides available on Hackaday here. Attendees can spend more time to digest. A lot of people who missed the registration since the workshop was full can also get some pointers from the slides to get started.
I also enjoyed illustrating for the tutorial. It was a year-long effort that I only had time to do outside of my day job. At times it felt like a never-ending task because there were so many topics I wanted to include and I was learning knew things before teaching and illustrating them. Looking back, it is extremely rewarding. I’ll show more illustrations soon.

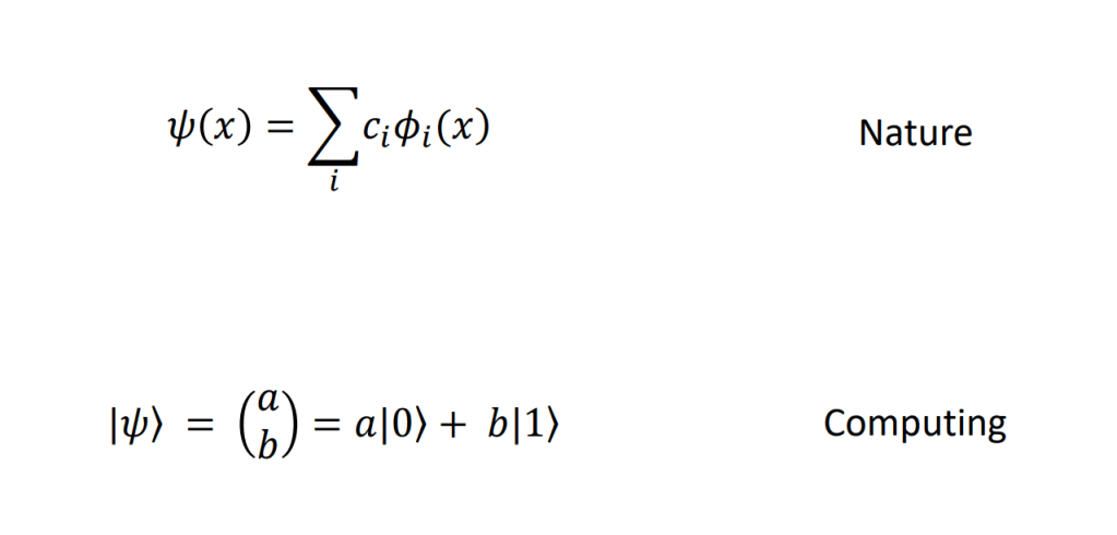
Believe it or not, my favorite slide is actually the simplest one below. It shows the elegance of our universe. The more I learn about quantum computing, the more I want to believe our universe is a quantum computer. All these calculations that nature has been doing, behind our back…We observe what we observe when we make a measurement.



OMG, I haven’t been doing anything in science for so long, and didn’t even know this site existed. I love this website so much!
LikeLiked by 1 person
Thank you. Visit often 🙂
LikeLike